德育为先 技能为重 创新发展 服务社会
首页
桂康要闻
桂康快讯
通知公告
桂康党建
桂康教研
桂康人物
桂康风采
快速导航
学校概况
学校简介
现任领导
办学理念
机构设置
党群部门
行政管理部门
教学单位
业务部门
教学科研
招生就业
招生
就业
合作交流
人才培养
学科建设
人才招聘
校友天地
公共服务
常用模板
办事流程
信息公开
规章制度
首页
桂康要闻
>
桂康快讯
>
通知公告
>
桂康党建
>
桂康教研
>
桂康人物
>
桂康风采
>
快速导航
>
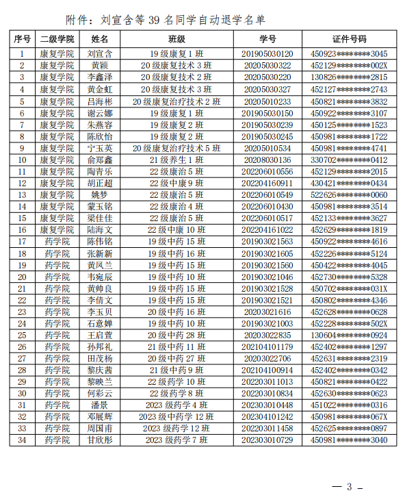
桂林生命与健康职业技术学院关于刘宣含等39名同学自动退学处理公示
来源:
发布时间:2025-12-25
广西教育厅
广西师范大学
长沙医学院
桂林电子科技大学
桂林医科大学
广西招生考试院
现代高等职业技术教育网
国家大学生就业服务平台